• Предмет: Алгебра
  • Автор: nikolaevamarus
  • Вопрос задан 10 лет назад

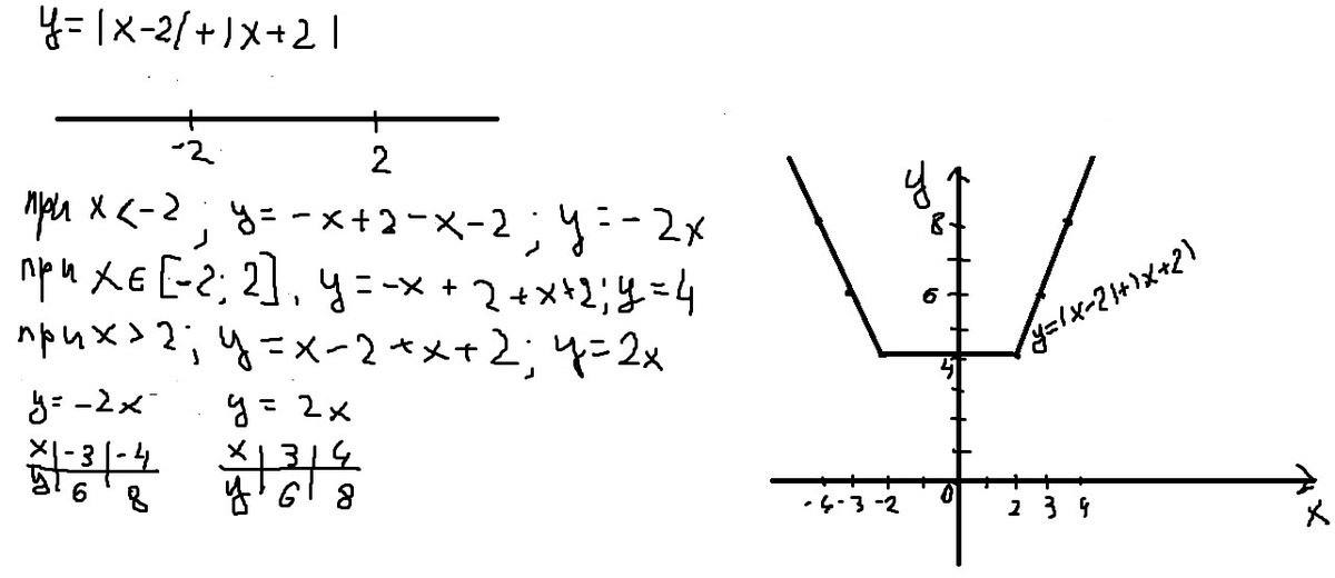
Постройте график функции y=|x-2|+|x+2|

Ответы

Ответ дал: sedinalana
0
Решение во вложении
-----------------------------------------
Приложения:
Ответ дал: nikolaevamarus
0
спасибо большое)
Ответ дал: vitaluso
0
решение ниже в файле
Приложения:
Ответ дал: nikolaevamarus
0
спасибо большое)
Вас заинтересует