Ответы
Ответ дал:
0
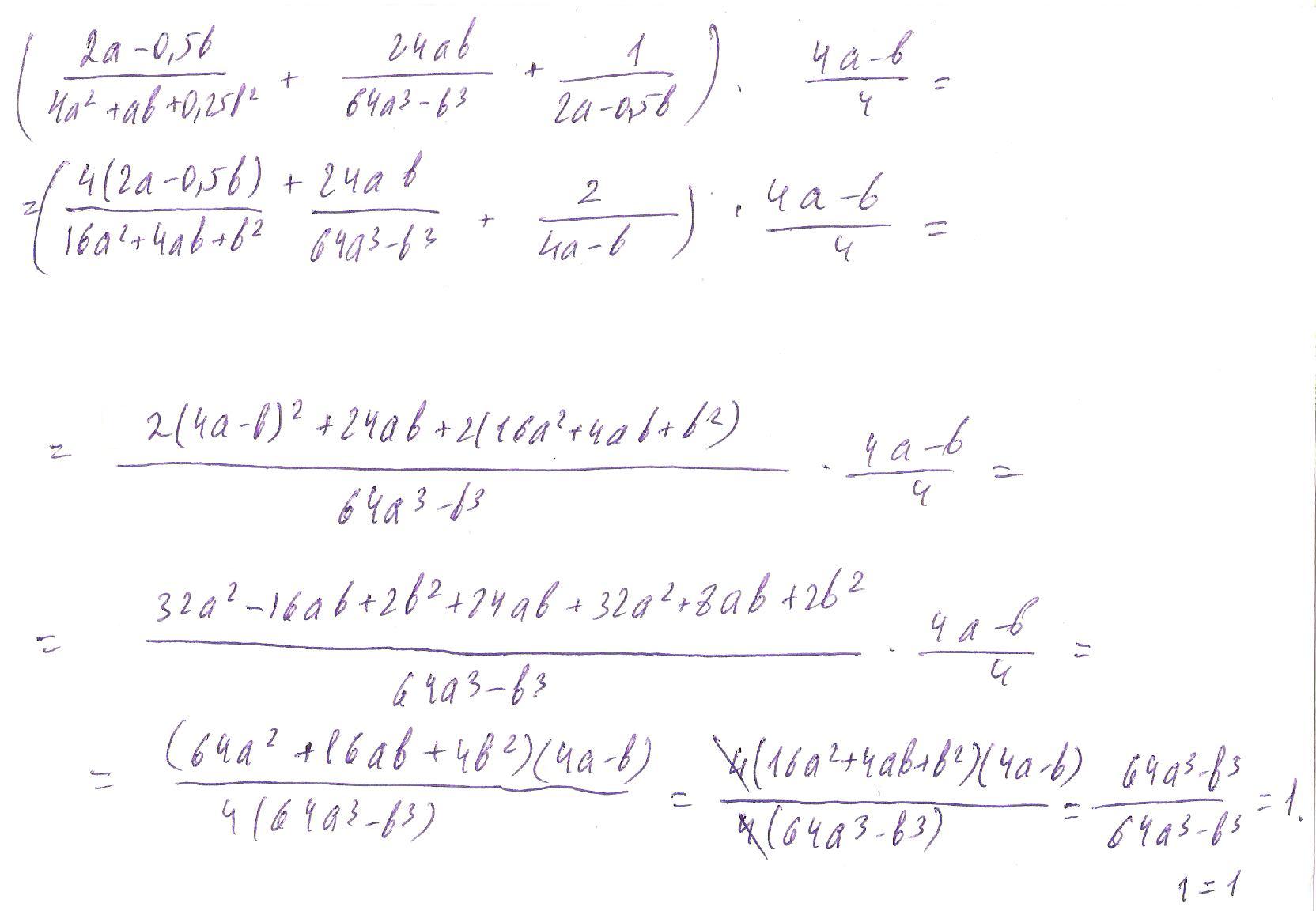
вроде легкий, а пока решишь - с ума сойдешь...
Приложения:

Вас заинтересует
2 года назад
8 лет назад
8 лет назад
10 лет назад
10 лет назад
10 лет назад