• Предмет: Алгебра
  • Автор: alsam1236
  • Вопрос задан 10 лет назад

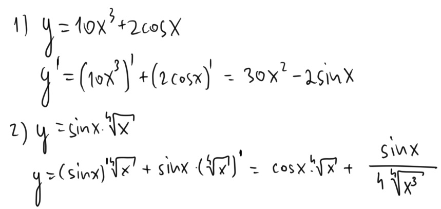
Найти производные первого порядка данных функций,используя правила вычисления производных. вот снимок примера.

Приложения:

Ответы

Ответ дал: nikolac
0
Решение на картинке.
Приложения:
Ответ дал: alsam1236
0
большое спасибо
Ответ дал: nikolac
0
Пожалуйста
Вас заинтересует