• Предмет: Математика
  • Автор: arm1223
  • Вопрос задан 10 лет назад

Ребят, помогите найти производную!
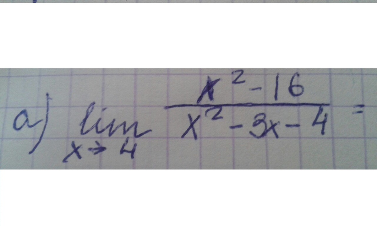
Lim x стремится к 4 (x^2-16)/(x^2-3x-4)

Приложения:

Ответы

Ответ дал: mymurkin
0
lim(x⇒4)(x+4)(x-4)/(x+1)(x-4)=lim(x⇒4)x+4/x+1=8/5=1.6
Ответ дал: arm1223
0
В этой производной ответ будет 0, вот решение необходимо
Ответ дал: arm1223
0
Извините, в этом пределе
Ответ дал: arm1223
0
Извините, перерешал по вашему методу ответ правильный, большое спасибо
Вас заинтересует