• Предмет: Алгебра
  • Автор: Arisha2013
  • Вопрос задан 10 лет назад

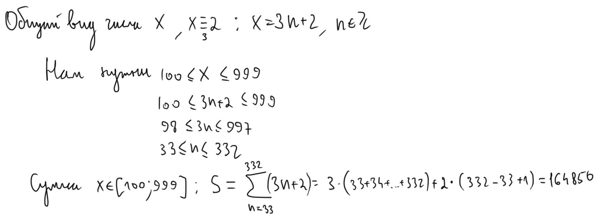
Найдите сумму всех трехзначных натуральных чисел , которые при делении на 3 дают остаток 2.

Ответы

Ответ дал: nikolac
0
Решение на картинке.
Приложения:
Вас заинтересует