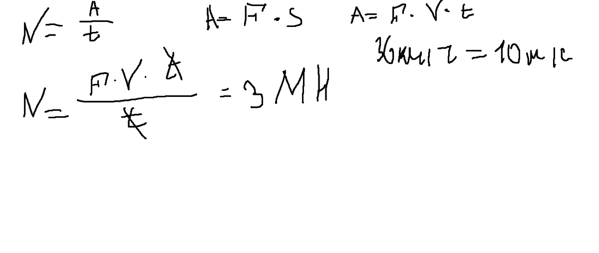
максимальная сила тяги электровоза при движении с постоянной скоростью 36 км/ч равна 300 000 Н. Чему равна мощность двигателей электровоза?
Ответы
Ответ дал:
0
,,,,,,,,,,,,,,,,,,,,,,,,,,,,,,,,,,,,
Приложения:

Вас заинтересует
2 года назад
7 лет назад
10 лет назад
10 лет назад
10 лет назад