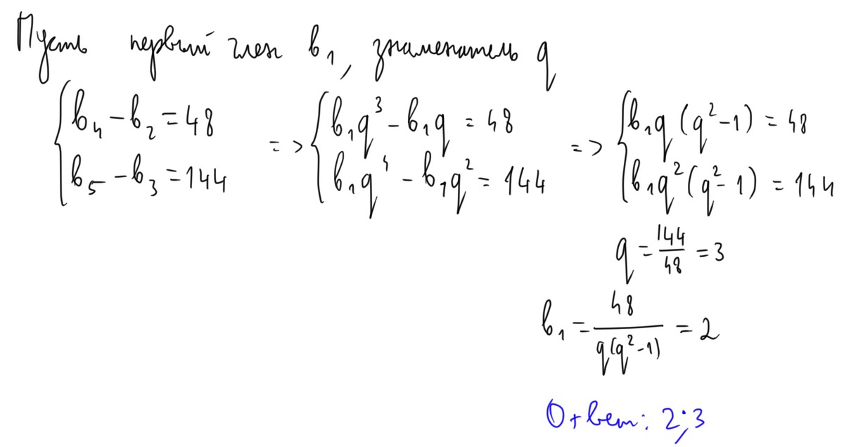
В геометрической прогрессии разность между четвертым и вторым членами
равна 48, а разность между пятым и третьим членами равна 144. Найдите
первый член и знаменатель прогрессии
Ответы
Ответ дал:
0
Решение на картинке.
Приложения:

Вас заинтересует
2 года назад
2 года назад
7 лет назад
7 лет назад
10 лет назад
10 лет назад
10 лет назад