• Предмет: Алгебра
  • Автор: valery00
  • Вопрос задан 10 лет назад

помогите решить пожалуйста!))))))

Приложения:

Ответы

Ответ дал: Аноним
0
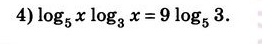
log_5xlog_3x=9log_53
ОДЗ: x>0
Воспользуемся формулами перехода к новому основанию
log_5x cdot dfrac{log_5x}{log_53} =9log_53 \  \ log_5^2x=9log_5^23
Система эквивалентна предыдущему
  left[begin{array}{ccc}log_5x= sqrt{9log_5^23} \log_5x=- sqrt{9log_5^23} end{array}rightto   left[begin{array}{ccc}x_1=5^{  sqrt{9log_5^23}  }\x_2=5^{ frac{1}{ sqrt{9log_5^23} } }end{array}right
ПОсле упрощения выражения получаем x=1 и x=19683

Ответ: 1; 19683.
Вас заинтересует