• Предмет: Алгебра
  • Автор: Chebyrashkaaa
  • Вопрос задан 10 лет назад

Помогите ПРОШУ!!!! Очень надо! (Картинка)

Приложения:

Ответы

Ответ дал: Аноним
0
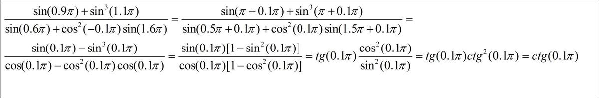
решение смотри во вложении
Приложения:
Ответ дал: Chebyrashkaaa
0
почему в начале у тебя sin(0.9пи) раскрывается, как пи+0.1, по идее должно быть пи - 0.1пи
Ответ дал: Аноним
0
прошу прощения, уже исправил
Вас заинтересует