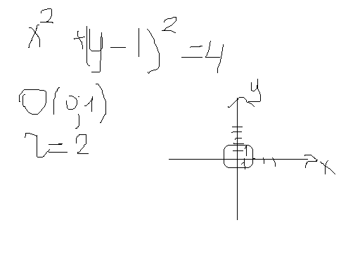
Окружность задана уравнением х2(в кв.)+(у-1)2(в кв.)=4. Напишите уравнение прямой, проходящей через её центр и параллельной оси абсцисс.
Ответы
Ответ дал:
0
Ну это типа окружность........не знаю я как дальше
Приложения:

Вас заинтересует
2 года назад
8 лет назад
10 лет назад
10 лет назад
10 лет назад