• Предмет: Алгебра
  • Автор: marisshechka1
  • Вопрос задан 10 лет назад

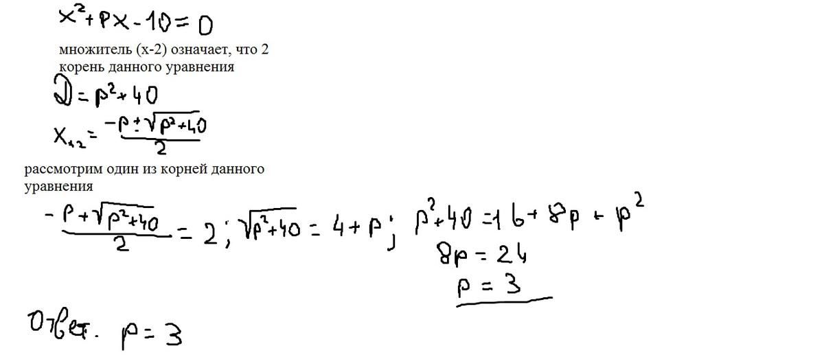
При каком значении p в разложении на множители многочлена x2 + px - 10 содержится множитель x-2?

Ответы

Ответ дал: vitaluso
0
решение ниже в картинке
Приложения:
Вас заинтересует