Ответы
Ответ дал:
0
Для решения задачи находим полупериметр.
68/2=34 см.
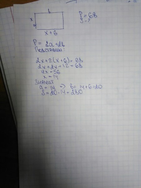
Пусть одна сторона прямоугольника х см, тогда вторая х+6. Полупериметр его будет х+х+6, что составляет 34 см. Составим и решим уравнение.
х+х+6=34
2х+6=34
2х=34-6
2х=28
х=28/2
х=14 - одно сторона прямоугольника.
1) 14+ 6 = 20 см - другая сторона прямоугольника.
2)14*20=280 см² - площадь прямоугольника.
68/2=34 см.
Пусть одна сторона прямоугольника х см, тогда вторая х+6. Полупериметр его будет х+х+6, что составляет 34 см. Составим и решим уравнение.
х+х+6=34
2х+6=34
2х=34-6
2х=28
х=28/2
х=14 - одно сторона прямоугольника.
1) 14+ 6 = 20 см - другая сторона прямоугольника.
2)14*20=280 см² - площадь прямоугольника.
Ответ дал:
0
..................................................
Приложения:

Вас заинтересует
2 года назад
2 года назад
7 лет назад
10 лет назад