• Предмет: Алгебра
  • Автор: MrBoog1e
  • Вопрос задан 10 лет назад

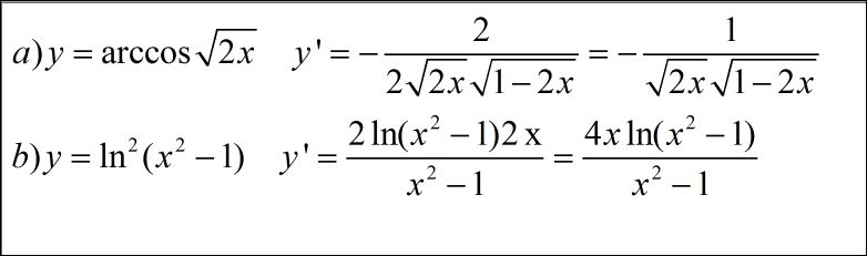
Помогите с производными по высшей математике ...
ВСЁ В ПОДРОБНОСТЯХ

Приложения:

Ответы

Ответ дал: Аноним
0
решение смотри во вложениииииииииииииииииииииии
Приложения:
Вас заинтересует