Ответы
Ответ дал:
0
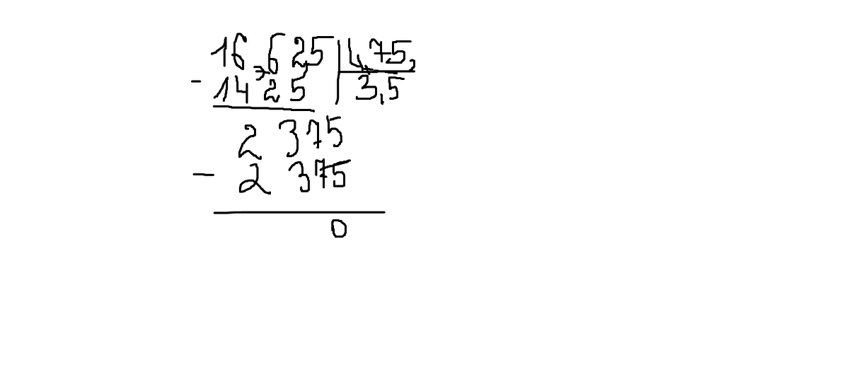
16,625:4,75=3,5.
Фото столбиком прикреплено ниже
Фото столбиком прикреплено ниже
Приложения:

Вас заинтересует
2 года назад
2 года назад
7 лет назад
7 лет назад
10 лет назад
10 лет назад