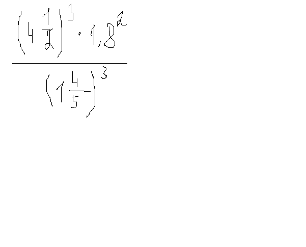
Найдите значение выражения и запишите ответ в виде десятичной дроби:
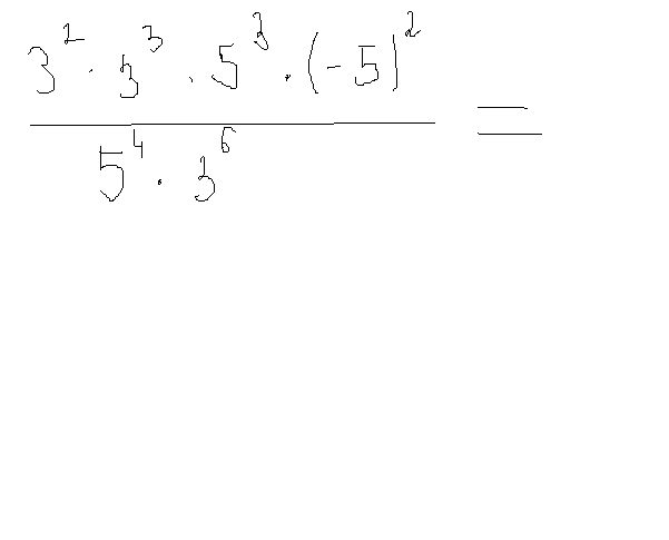
А под второй картинкой до решать нужно
Приложения:


Ответы
Ответ дал:
0
во 2-ом получится 0,36
Ответ дал:
0
щас в 1ом ответ скажу
Ответ дал:
0
там десят. дроб не получится.
Вас заинтересует
2 года назад
7 лет назад
10 лет назад
10 лет назад
10 лет назад