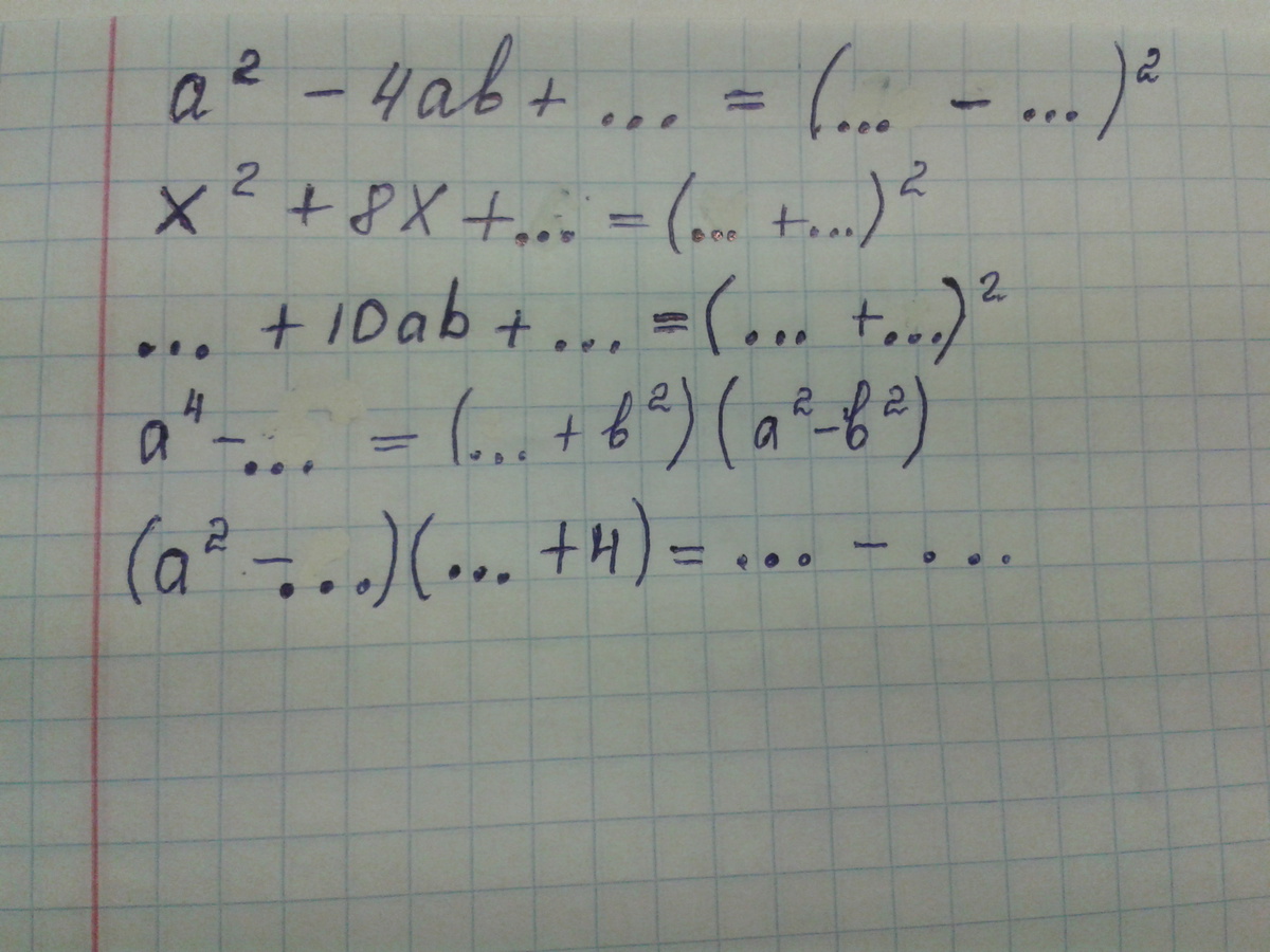
ФОРМУЛЫ СОКРАЩЕННОГО УМНОЖЕНИЯ!!!!вставьте пропущенные числа вместо многоточий
лучше фотогрфией
Приложения:
Ответы
Ответ дал:
0
1)4b*b,a,2b
2)16,x,4
3)25a*a,b*b,5a,b
4)b*b*b*b,a*a
5)4,a*a,a*a*a*a,16
2)16,x,4
3)25a*a,b*b,5a,b
4)b*b*b*b,a*a
5)4,a*a,a*a*a*a,16
Вас заинтересует
3 года назад
8 лет назад
8 лет назад
10 лет назад
10 лет назад
11 лет назад