• Предмет: Алгебра
  • Автор: mariagolub888
  • Вопрос задан 10 лет назад

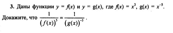
Даны функции у=f(х) и у=g(х)

Приложения:

Ответы

Ответ дал: manyny06
0
решение смотри на фотографии
Приложения:
Вас заинтересует