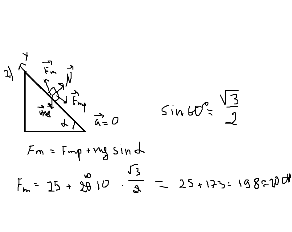
Помогите ребята! Какую силу приходится прикладывать для втаскивания груза массой 20 кг по наклонной плоскости с углом 60 градусов при основании?Сила трения 25H,движение считать равномерным .(200H)
Ответы
Ответ дал:
0
____________
пиши в личку если непонятно
Приложения:

Вас заинтересует
2 года назад
8 лет назад
8 лет назад
10 лет назад
10 лет назад
10 лет назад