• Предмет: Алгебра
  • Автор: talovskiies
  • Вопрос задан 10 лет назад

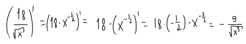
найти производную
(18/√x)'

Ответы

Ответ дал: nikolac
0
Решение на картинке.
Приложения:
Вас заинтересует