• Предмет: Алгебра
  • Автор: Разик
  • Вопрос задан 10 лет назад

Помогите)
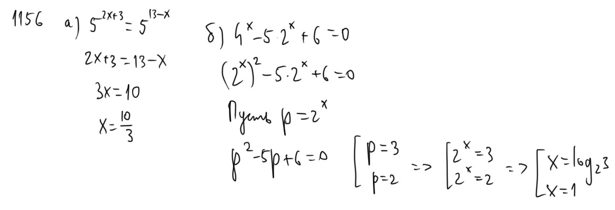
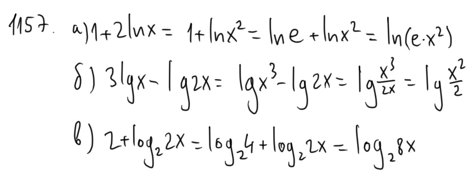
номер 1156 и 1157

Приложения:

Ответы

Ответ дал: nikolac
0
Решение на картинках.
Приложения:
Вас заинтересует