• Предмет: Физика
  • Автор: bfaiq
  • Вопрос задан 10 лет назад

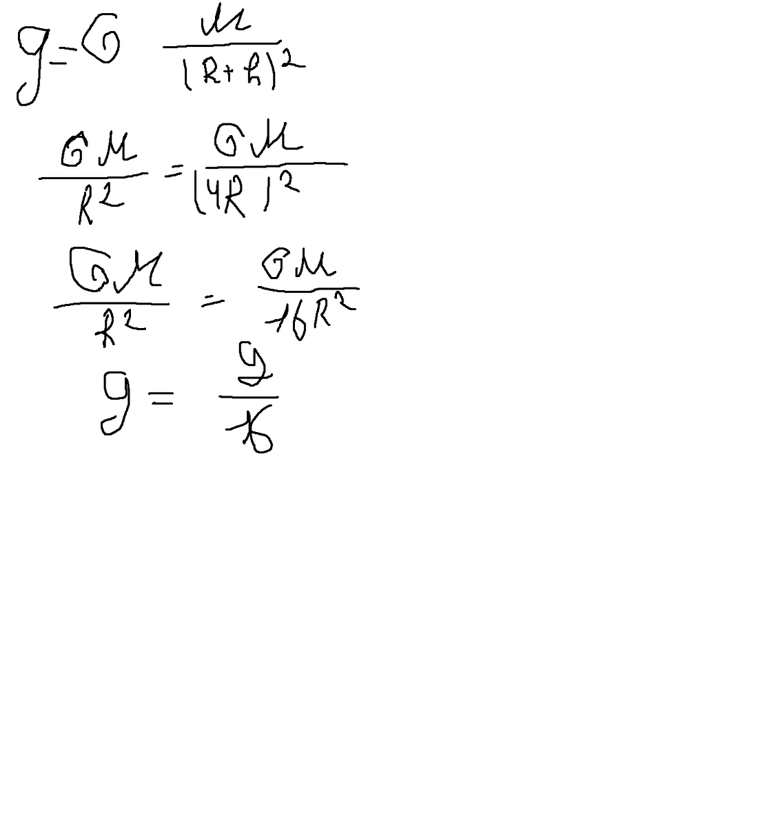
В каких пределах меняется гравитационное ускорение h=3R

Ответы

Ответ дал: blad3518
0
Извини что не правильно сначало решил! 
Приложения:
Ответ дал: bfaiq
0
а ответ 16
Ответ дал: bfaiq
0
в принципе как решается надо просто радиус делить на полученный при 3 радиуса так
Ответ дал: bfaiq
0
спасибо
Вас заинтересует