• Предмет: Алгебра
  • Автор: Polinastars
  • Вопрос задан 10 лет назад

Помогите решить уравнение:
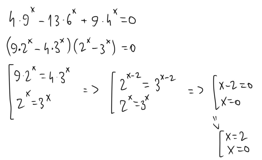
4*9^х- 13*6^х+9*4^х=0

Ответы

Ответ дал: nikolac
0
Решение на картинке.
Приложения:
Ответ дал: NNNLLL54
0
4cdot 9^{x}-13cdot 6^{x}+9cdot 4^{x}=0\\4cdot (3^{x})^2-13cdot 3^{x}cdot 2^{x}+9cdot (2^{x})^2=0, |:(2^{x})^2\\4cdot ((frac{3}{2})^{x})^2-13cdot (frac{3}{2})^{x}+9=0\\t=(frac{3}{2})^{x}; ,; ; 4t^2-13t+9=0\\D=25; ,; ; t_1=frac{13-5}{8}=1,; t_2=frac{13+5}{8}=frac{9}{4}\\(frac{3}{2})^{x}=1; ,; ; (frac{3}{2})^{x}=(frac{3}{2})^{0}; ,; ; x=0\\(frac{3}{2})^{x}=frac{9}{4},; ; (frac{3}{2})^{x}=(frac{3}{2})^2; ,; ; x=2\\Otvet:; ; 0,; 2.
Приложения:
Вас заинтересует