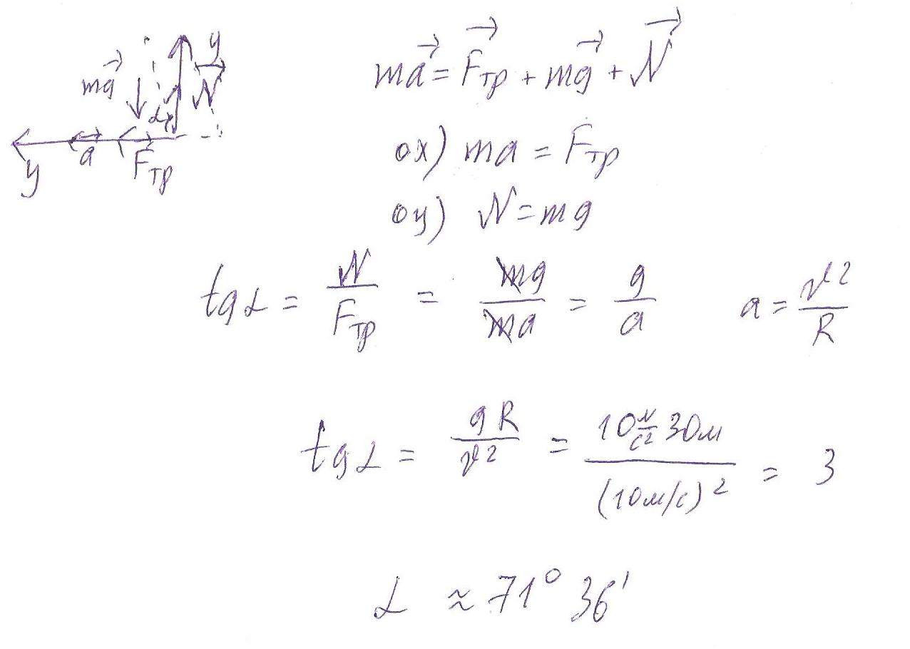
Конькобежец движется со скоростью 10 м/с по окружности радиусом 30 м. Под каким углом к горизонту он должен наклониться, чтобы сохранить равновесие?
Ответы
Ответ дал:
0
надеюсь понятно будет...
Приложения:

Вас заинтересует
2 года назад
2 года назад
8 лет назад
10 лет назад
10 лет назад
10 лет назад