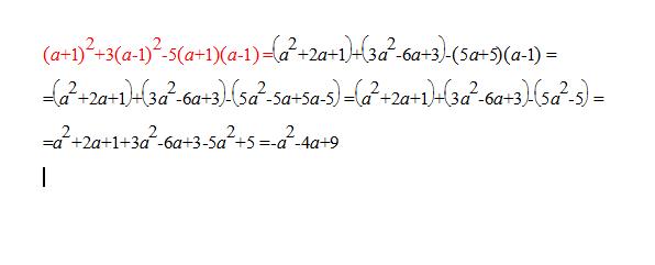
упростите выражение:(а+1)во второй степени + 3(а-1)во второй степени - 5(а+1)(а-1)= решите пожалуйста срочно надо)заранее благодарю...
Ответы
Ответ дал:
0
======================================================
Приложения:

Вас заинтересует
2 года назад
2 года назад
8 лет назад
10 лет назад
10 лет назад
10 лет назад