упростите выражение:
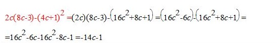
2с(8с-3)-(4с 1)во второй степени=
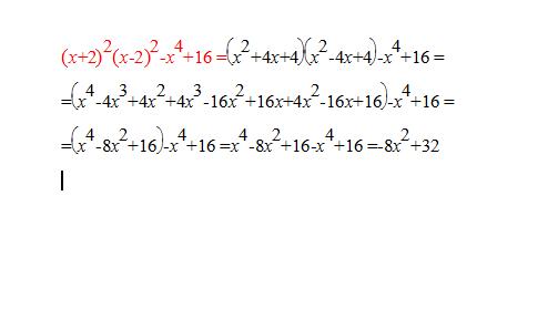
(х 2)во второй степени умножить (х-2)во второй степени -х в четвертой степени 16=
Ответы
Ответ дал:
0
=========================================
Приложения:
Вас заинтересует
3 года назад
3 года назад
8 лет назад
8 лет назад
11 лет назад
11 лет назад
11 лет назад