• Предмет: Алгебра
  • Автор: versenka
  • Вопрос задан 10 лет назад

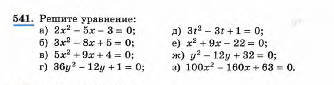
Решите, желательно с подробным описанием!

Приложения:

Ответы

Ответ дал: Juliaa21
0
..................................
Приложения:
Вас заинтересует