• Предмет: Математика
  • Автор: ЦинковаяЛиса
  • Вопрос задан 10 лет назад

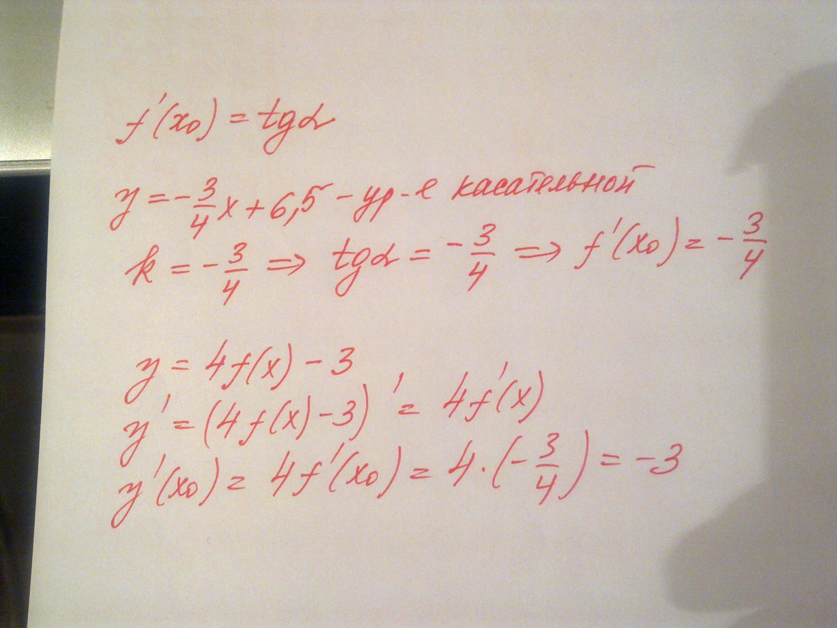
На рисунке изображены график ф-ии y=f(x) и касательная к этому графику, проведённая в точке x0. Ур-ие касательной показано на рисунке. Найдите значение производной ф-ии y=4f(x)-4 в точке x0.

Приложения:

Ответы

Ответ дал: Rechnung
0
.............................................
Приложения:
Вас заинтересует