• Предмет: Алгебра
  • Автор: gfyhejnjk23
  • Вопрос задан 10 лет назад

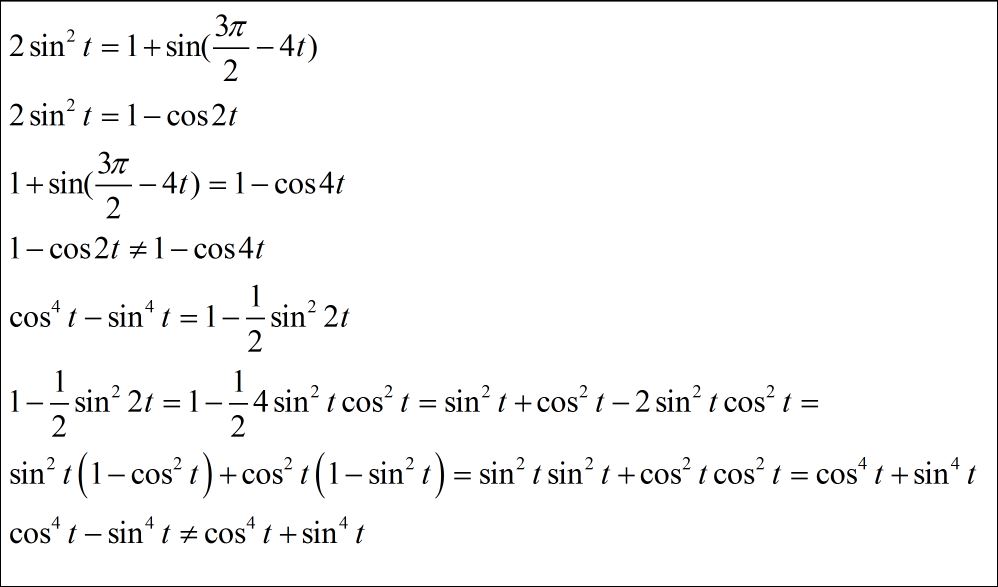
докажите тождество:
2 sin^2 t=1+sin(3п/2-4t)
cos^4t-sin^4 t=1-1/2sin^2 2t

Ответы

Ответ дал: Аноним
0
решение смотри во вложенииииииииииииииииииииии
Приложения:
Вас заинтересует