• Предмет: Физика
  • Автор: annaleo1996
  • Вопрос задан 11 лет назад

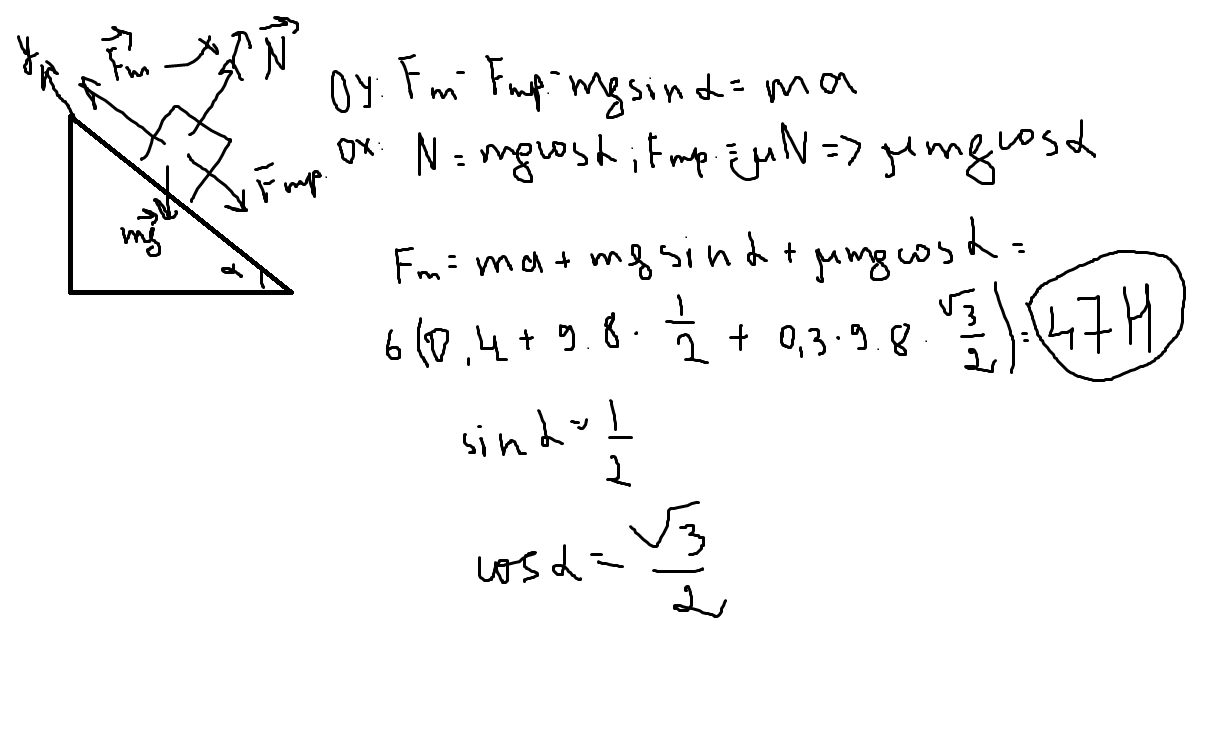
Какую силу необходимо приложить к телу массой 6 кг, чтобы оно перемещалось вверх по наклонной плоскости с ускорением 0,4 м/с2? Наклонная плоскость составляет с горизонтом угол 30°, а коэффициент трения равен 0,3.

Ответы

Ответ дал: zzzziga
0

________________________________

Приложения:
Вас заинтересует