• Предмет: Алгебра
  • Автор: Аноним
  • Вопрос задан 10 лет назад

Найти значение выражения пожалуйста срочно надо

Приложения:

Ответы

Ответ дал: SkyBy
0
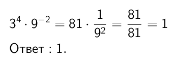
Смотрите решение в прикреплённом файле.

Приложения:
Вас заинтересует