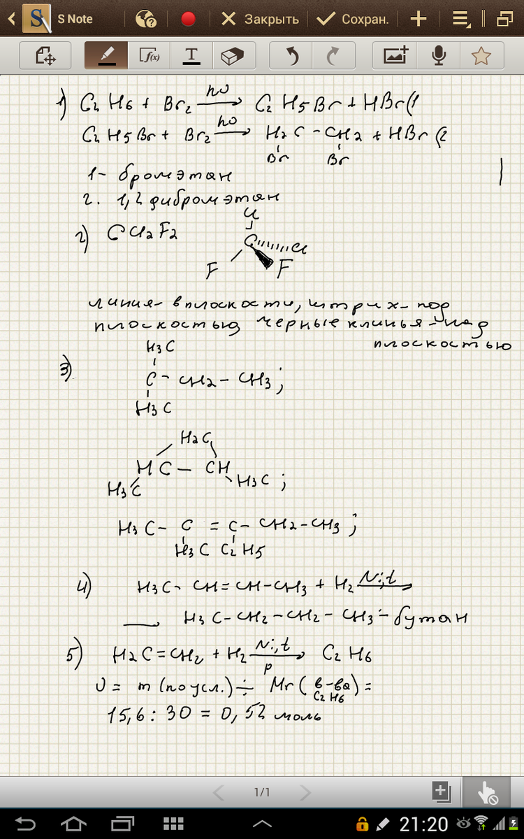
1)осуществить преобразования и назвать вещества
С2Н6-С2H5Вr-C2H4Br2.
2)Написать формулу дифтор дихлор метана
3)Написать 1,1 диметилпропан,1,2 диметилциклопропан. 2 метил,3 етил пентилен-2
4)Написать уравнение реакции гидрирования бутилену-2,назвать полученное вещество.
5)Сколько получится углеводорода при гидрирования 15,6 грамм этилена?
Ответы
Ответ дал:
0
2) CCl2F2
1) -
3)-
4)-
5) -
Если бы знала написала... Знаю ток 2)))
1) -
3)-
4)-
5) -
Если бы знала написала... Знаю ток 2)))
Ответ дал:
0
Решение в приложенном файле.
Приложения:

Вас заинтересует
2 года назад
2 года назад
7 лет назад
10 лет назад
10 лет назад