• Предмет: Математика
  • Автор: AlinaAsta
  • Вопрос задан 10 лет назад

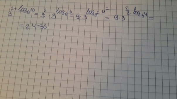
3 в степени 2+log по основанию 9 числа 16

Ответы

Ответ дал: limonny
0
если что не понятно , спрашивай 
Приложения:
Ответ дал: Самбуха
0
Ответ 36,000000000000000000000000000
Приложения:
Вас заинтересует