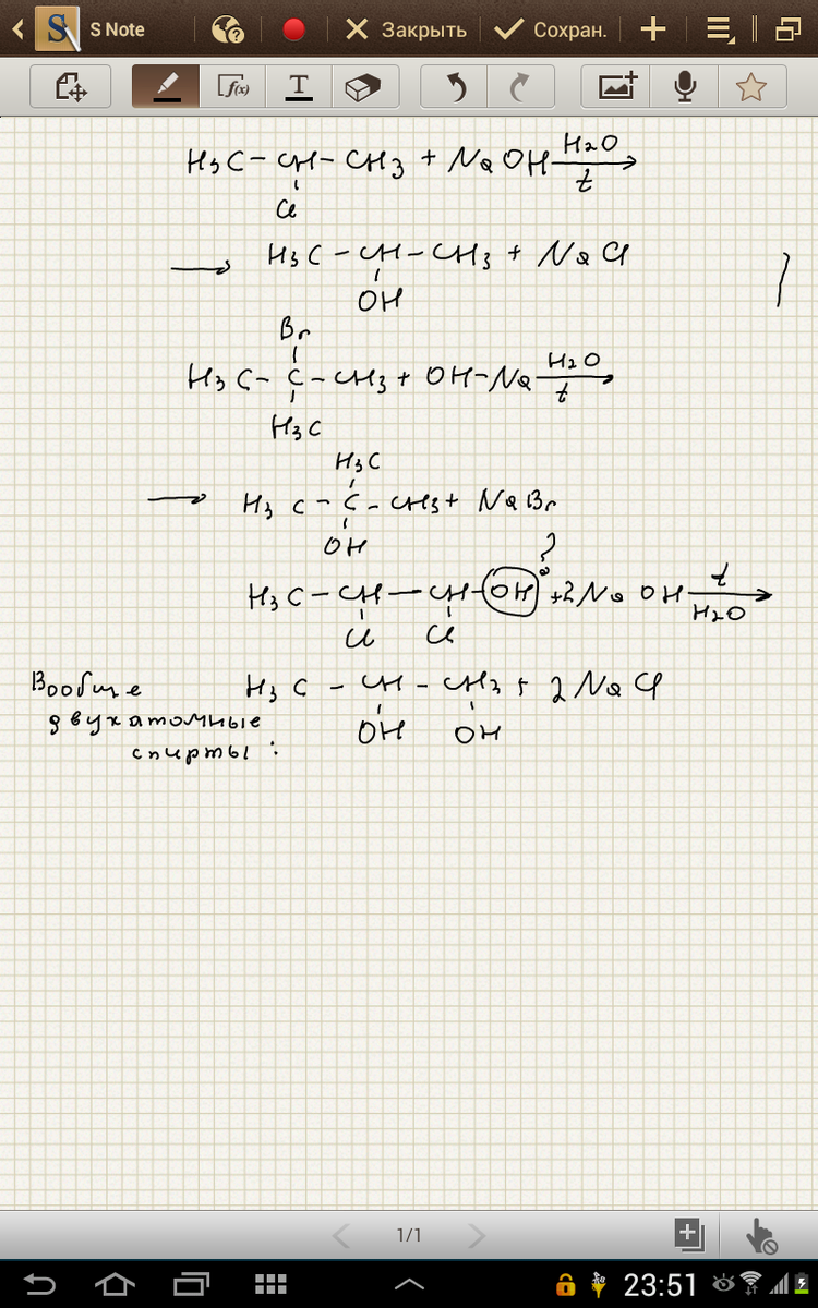
2. Напишите уравнения реакций гидролиза водным раствором едкого натра следующих соединений: 2-хлорпропана, 2-бром-2-метилпропана, 1,2-дихлорпропанола.
Ответы
Ответ дал:
0
Решение в приложенном файле.
Приложения:

Вас заинтересует
2 года назад
7 лет назад
7 лет назад
10 лет назад
10 лет назад
10 лет назад