Ответы
Ответ дал:
0
/////////////////////////////////////////////
Приложения:

Ответ дал:
0
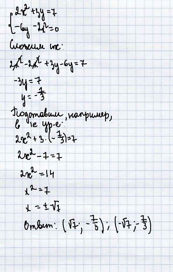
{2x²+3y=7
{-2x²-6y=0
прибавим
-3y=7
y=-7/3
2x²-7=7
2x²=14
x²=7
x=-√7 U x=√7
(-√7;-7/3);(√7;-7/3)
{-2x²-6y=0
прибавим
-3y=7
y=-7/3
2x²-7=7
2x²=14
x²=7
x=-√7 U x=√7
(-√7;-7/3);(√7;-7/3)
Приложения:

Вас заинтересует
2 года назад
2 года назад
7 лет назад
7 лет назад
10 лет назад
10 лет назад
10 лет назад