Ответы
Ответ дал:
0
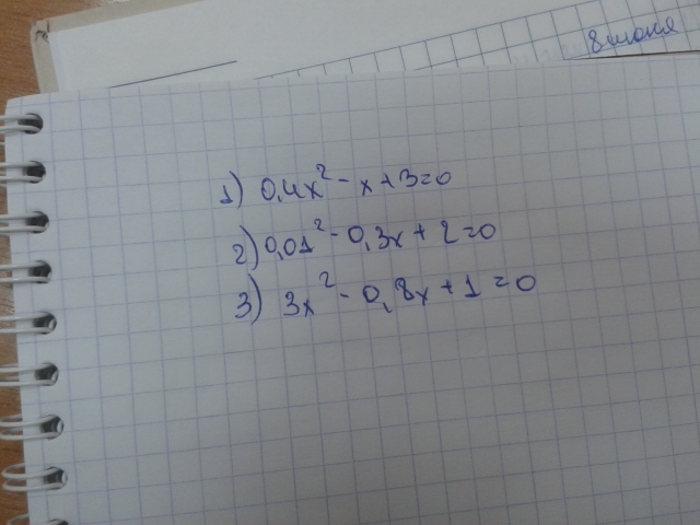
1) 0,4x^2-x+3=0, a=0,4; b=-1, c=3
D=b^2-4ac=(-1^2)-4*0,4*3=-3,8, D<0 корней нет
2) 0,01^2-0,3x+2=0
0,0001-0,3x+2=0
-0,3x+2,0001=0
-0,3x=-2,0001|*(-1)
0,3x=2,0001
x=2,0001/0,3
x=6,667
3) 3x^2-0.8x+1=0 a=3, b=-0.8, c=1
D=b^2-4ac= (-0.8)^2 - 4 • 3 • 1 = -11.36, D<0 корней нет
D=b^2-4ac=(-1^2)-4*0,4*3=-3,8, D<0 корней нет
2) 0,01^2-0,3x+2=0
0,0001-0,3x+2=0
-0,3x+2,0001=0
-0,3x=-2,0001|*(-1)
0,3x=2,0001
x=2,0001/0,3
x=6,667
3) 3x^2-0.8x+1=0 a=3, b=-0.8, c=1
D=b^2-4ac= (-0.8)^2 - 4 • 3 • 1 = -11.36, D<0 корней нет
Вас заинтересует
3 года назад
3 года назад
8 лет назад
10 лет назад
10 лет назад
11 лет назад