• Предмет: Алгебра
  • Автор: alexandraKiz
  • Вопрос задан 10 лет назад

Помогите срочно!!!!!!!!Номер 2,3Пожалуйста!!!

Приложения:

Ответы

Ответ дал: Juliaa21
0
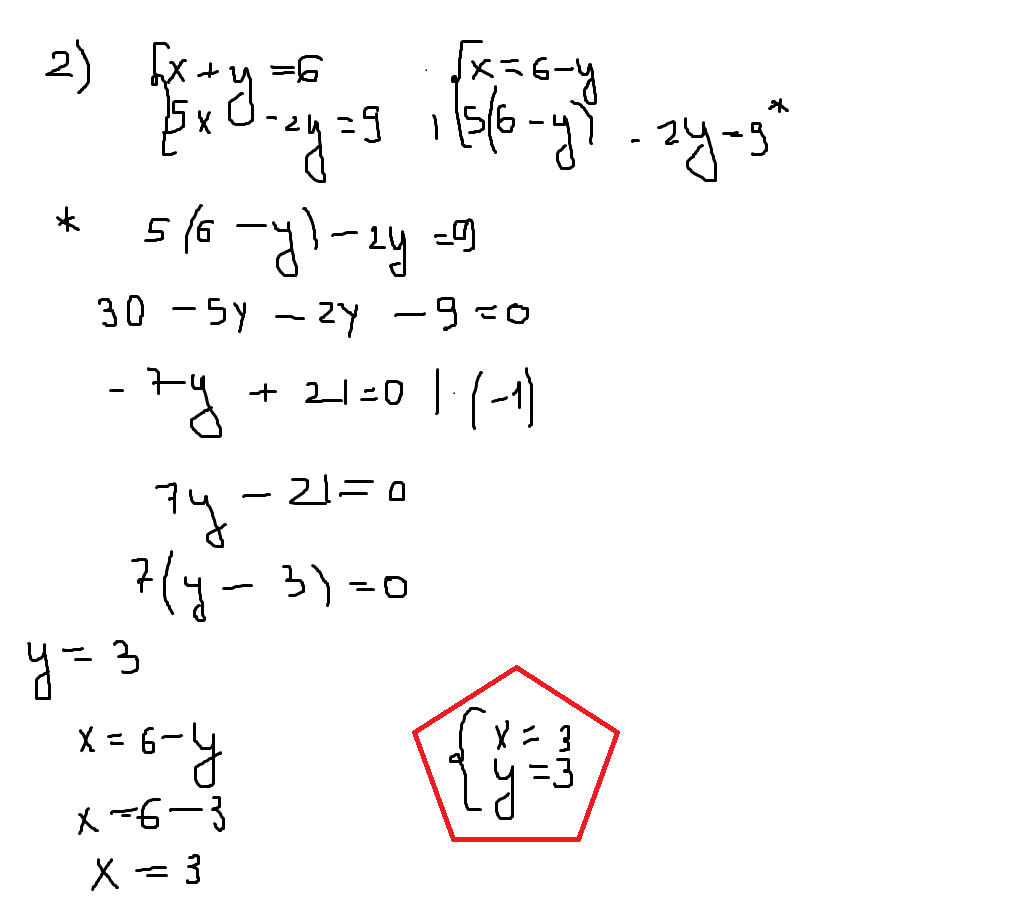
2.) система...
1.х+y=6
x=6-y

2.5(6-y)-2y=9
30-5y-2y=9
-5y-2y=9-30
-7y=-21
y=-21:(-7)
y=3

3.x=6-3=3

ответ:(3;3)

Ответ дал: alexandraKiz
0
спасибо!
Ответ дал: lapucic
0
Я решила )
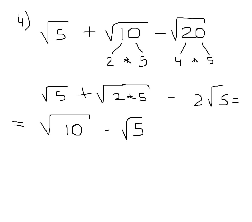
Держи,фотки с решениями в файлике:)


Приложения:
Ответ дал: lapucic
0
потому ,что я теперь не могу изменять мое сообщение
Ответ дал: lapucic
0
но у меня ответ получился -1/2 и 1/2
Ответ дал: alexandraKiz
0
пошли в лс
Ответ дал: alexandraKiz
0
напиши как найти
Ответ дал: lapucic
0
а тут можно общаться?
Вас заинтересует