• Предмет: Математика
  • Автор: dasha080
  • Вопрос задан 10 лет назад

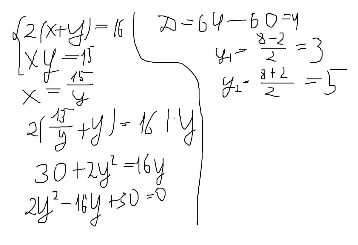
Длины сторон прямоугольника выражены в сантиметрах, его периметр равер 16 см, а площадь- 15 см2. Найдите все стороны этого прямоугольника.Подберите все возмодные варианты

Ответы

Ответ дал: pershin39
0
Стороны будут равны 3 и 5.Надеюсь разберешься,а если нет пиши тогда
Приложения:
Ответ дал: pershin39
0
Ты какой класс
Ответ дал: pershin39
0
??
Ответ дал: dasha080
0
5 класс
Ответ дал: pershin39
0
щас решу подругому
Ответ дал: pershin39
0
Короче скажу так ваш учитель по математике тупой,такое задание только системой решается,А подругому решение только если числа тупо подставлять,каждый раз.В результате подставленные числа будут 5 и 3.То есть ,чтобы периметр найти надо (5+3)2 это равно 16 правильно,а площадь 5*3 это равно 15 правильно,больше ни как не решается.
Вас заинтересует