• Предмет: Геометрия
  • Автор: FakeEEE
  • Вопрос задан 11 лет назад

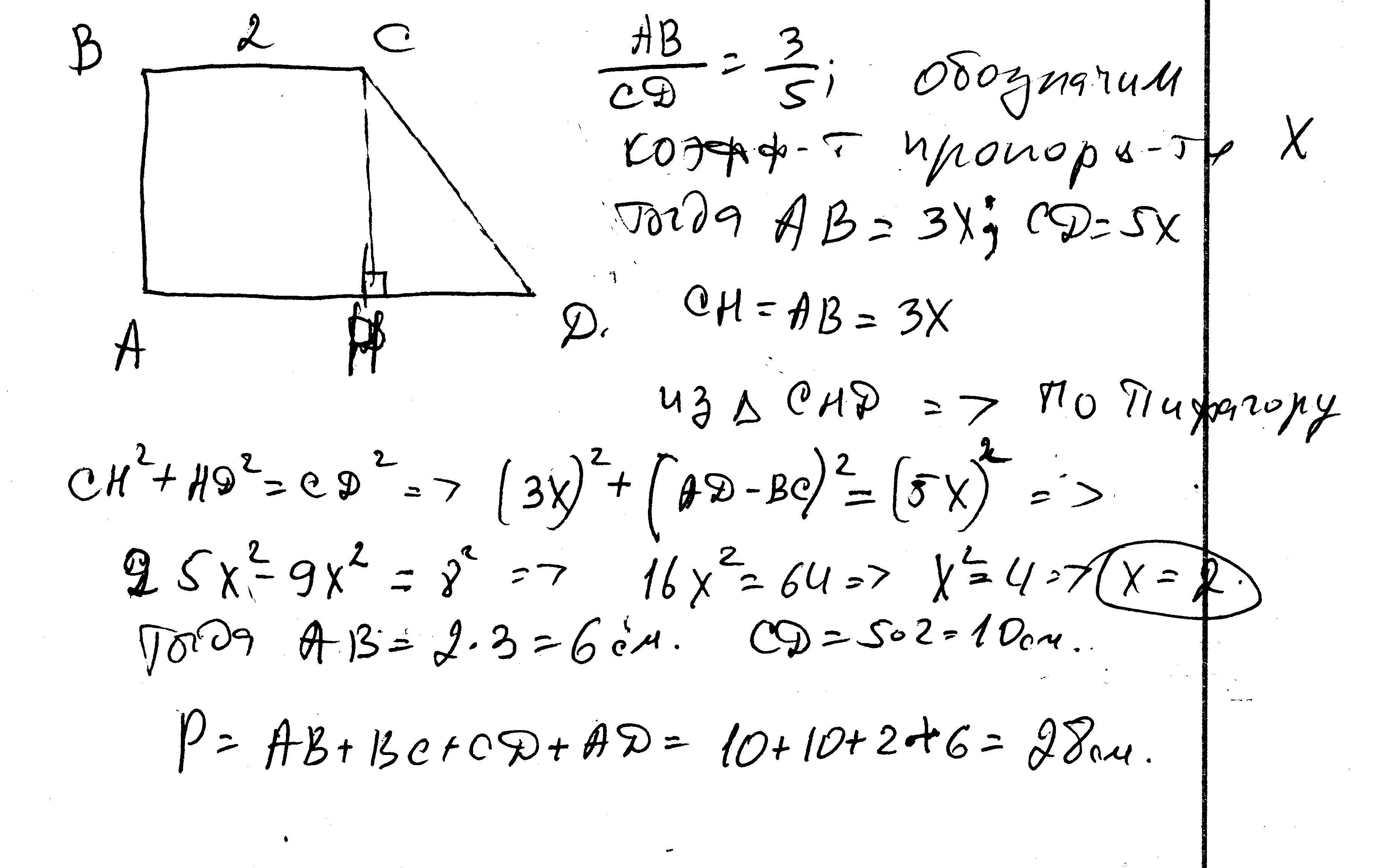
Основания прямоугольной трапеции равны 2 см и 10 см, а боковые стороны относятся как 3:5. Найдите периметр трапеции. Пож решение с объяснением.

Ответы

Ответ дал: ужнеужели
0
решение в скане...............
Приложения:
Вас заинтересует