• Предмет: Алгебра
  • Автор: Аноним
  • Вопрос задан 10 лет назад

Помогите решить уравнения номер 4 Полностью?Заранее спасибо !!

Приложения:

Ответы

Ответ дал: SkyBy
0
Смотрите решение в прикреплённом файле.
Приложения:
Ответ дал: DIANKA367
0
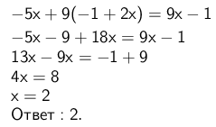
-5х+9(-1+2х)=9х-1
-5х-9+18х=9х-1
13х-9=9х-1
13х-9х=9-1
4х=8
х=2
Ответ:х=2
Приложения:
Вас заинтересует