• Предмет: Математика
  • Автор: 79175644441
  • Вопрос задан 11 лет назад

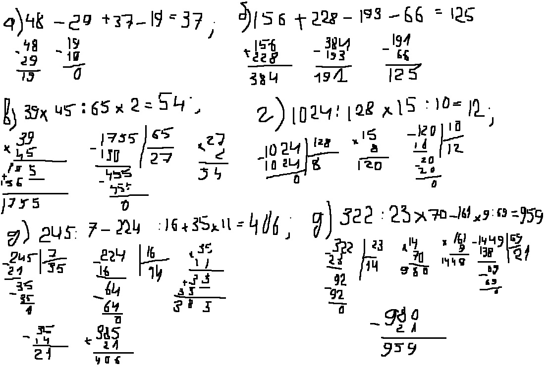
         найдите значения выражений.(в столбик решаем сразу).
а)48-29+37-19=?

б)156+228-193-66=?

в)39х45:65х2=?

г)1024:128х15:10=?

д)245:7-2246:16+35х11=?

е)322:23х70-161х9:69=?

ж)3156(162+12х24-11х39)+558:31=? 

все больше вас мучить не буду там их ещё 5 букв и там намного больше цифр.

Ответы

Ответ дал: Gnom3nka
0

Больше местав не хватает :D

Приложения:
Вас заинтересует