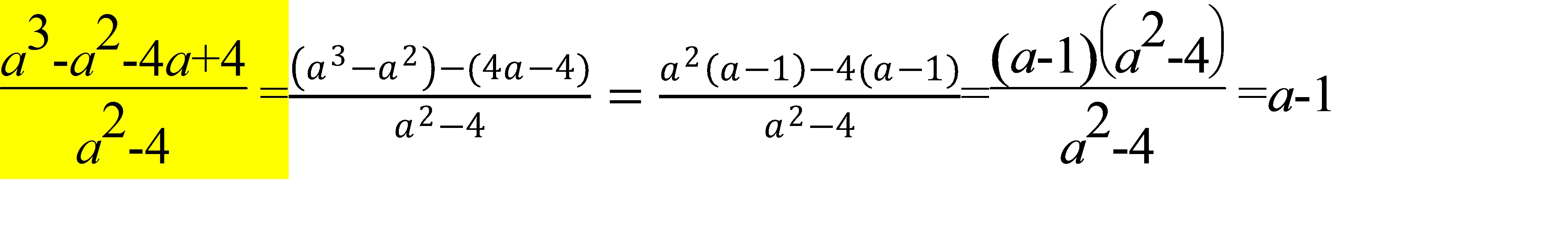
решить так чтоб ответ получился а-1:a в кубе-a в квадрате-4a+4/a в квадрате -4.Заранее спасибо!!!
Ответы
Ответ дал:
0
=========================================================
Приложения:

Вас заинтересует
2 года назад
2 года назад
8 лет назад
8 лет назад
10 лет назад
10 лет назад
10 лет назад