• Предмет: Алгебра
  • Автор: Tem4r
  • Вопрос задан 10 лет назад

Найдите корни уравнения,принадлежащие отрезку [0; 2п]
1)cos2x=cos^2x
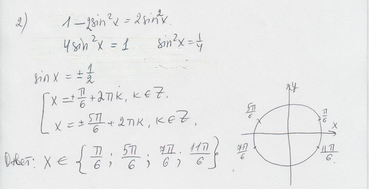
2)cos2x=2sin^x

Ответы

Ответ дал: belcatya
0
решение первого в приложении,
второе решила, считая, что там  2sin^{2}x
Приложения:
Вас заинтересует