• Предмет: Алгебра
  • Автор: fencingepee
  • Вопрос задан 10 лет назад

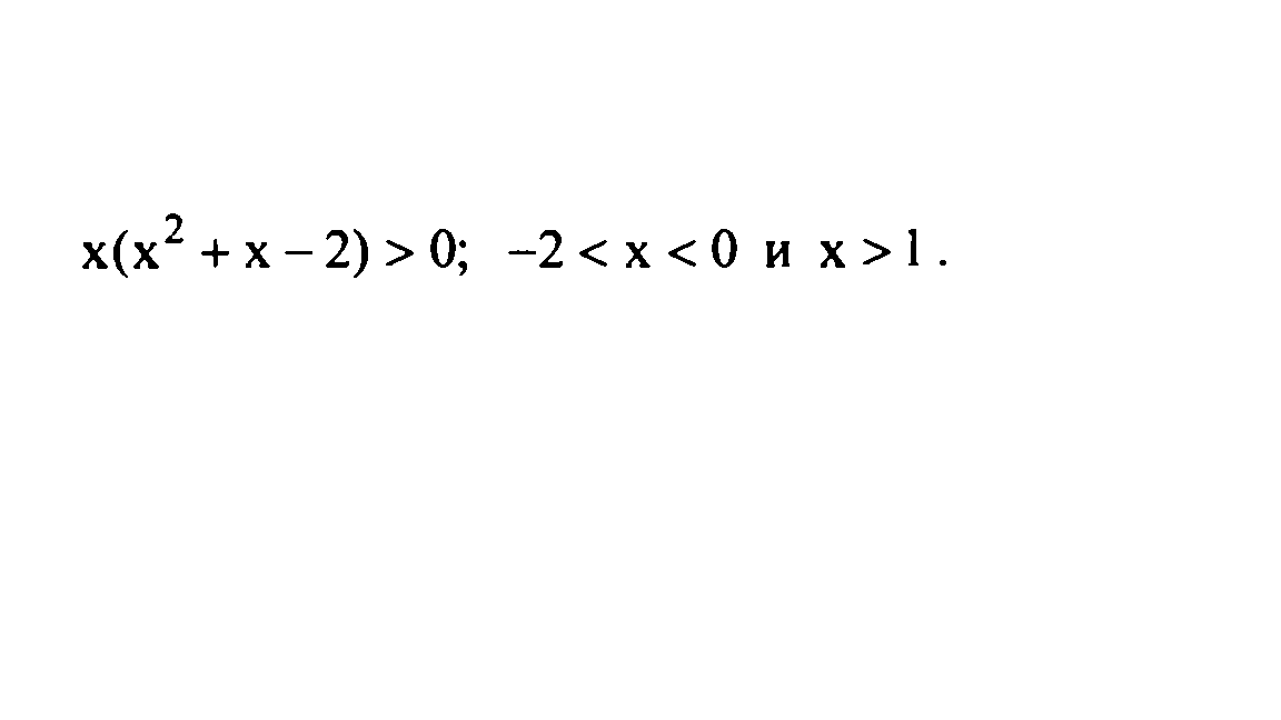
Люди , помогите , как так получилось -2 меньше х мешьше 0 ? Заранее спасибо .

Приложения:

Ответы

Ответ дал: Denik777
0
Решение по методу интервалов в картинке прицеплено.
Приложения:
Ответ дал: fencingepee
0
Все понял , я не знал куда 0 деть . Спасибо .
Ответ дал: Denik777
0
на здоровье :)
Вас заинтересует