Ответы
Ответ дал:
0
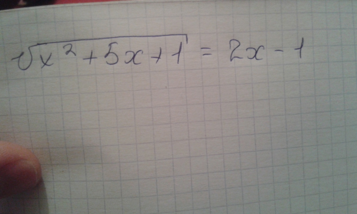
Возводим обе части в квадрат:
x^2+5x+1=4x^2-4x+1
3x(x-3)=0
x=0, x=3
Но это еще не ответ. Мы возводили в квадрат и не смотрели на область определения, поэтому могли появиться лишние корни. Теперь нужно эти 0 и 3 подставить в уравнение и посмотреть, при каких выполняется равенство:
Видим, что x=0 не подходит, а x=3 подходит. Ответ: x=3.
x^2+5x+1=4x^2-4x+1
3x(x-3)=0
x=0, x=3
Но это еще не ответ. Мы возводили в квадрат и не смотрели на область определения, поэтому могли появиться лишние корни. Теперь нужно эти 0 и 3 подставить в уравнение и посмотреть, при каких выполняется равенство:
Видим, что x=0 не подходит, а x=3 подходит. Ответ: x=3.
Вас заинтересует
3 года назад
8 лет назад
10 лет назад
10 лет назад