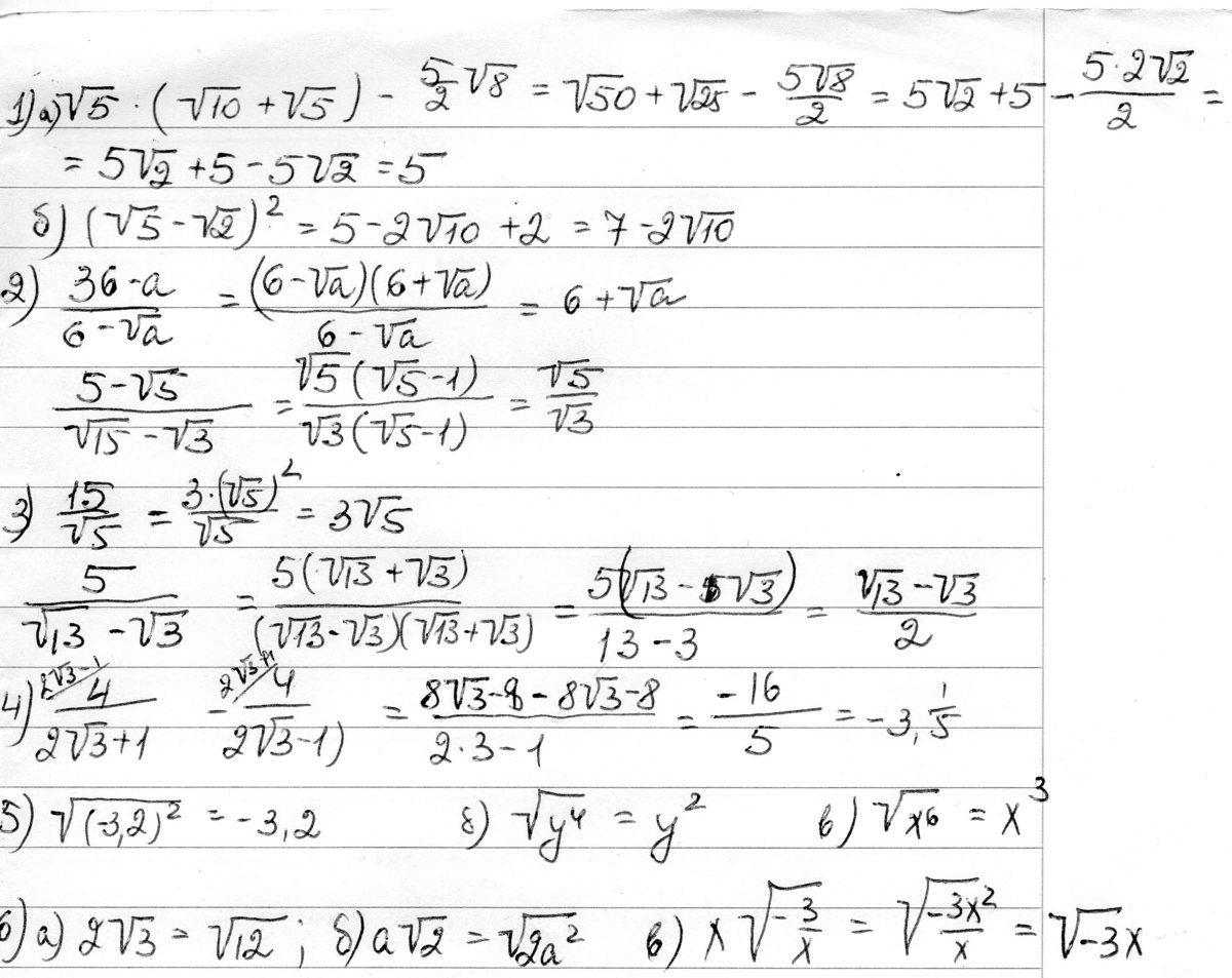
1,упростите выражение
2 сократите дробь
3освободите от знака корня в знаменателе
4,докажите,что значение выражения является рациональным числом
5 упростите выражение
6внесите множитель под знак корня.
Распишите пожалуйста по действиям^^ Заранее пасибки
Приложения:

Ответы
Ответ дал:
0
решение в файле)))))))))))))))))))))))))))))))
Приложения:

Вас заинтересует
2 года назад
2 года назад
8 лет назад
10 лет назад
10 лет назад