• Предмет: Алгебра
  • Автор: ment0l
  • Вопрос задан 10 лет назад

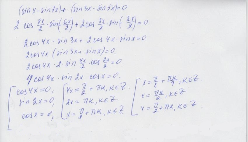
Решите уравнение:
Sinx+Sin3x-Sin5x-Sin7x=0

Ответы

Ответ дал: belcatya
0
решение в приложении:
Приложения:
Вас заинтересует