помогите плз дам 45 балов
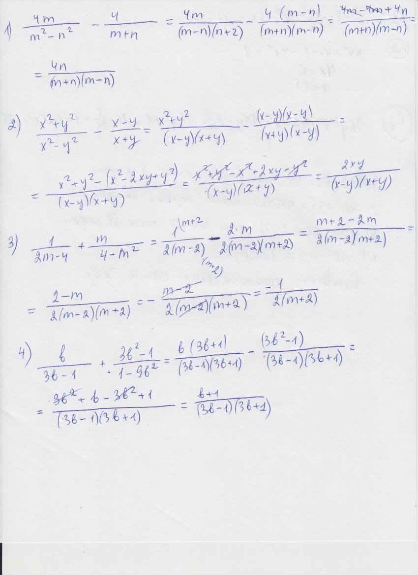
4m / m^2-n^2 - 4 / m+n
x^2+y^2 / x^2-y^2 - x-y / x+y
1 / 2m-4 + m / 4-m^2
b / 3b-1 + 3b^2-1 / 1-9b^2
Ответы
Ответ дал:
0
решение в приложении:
Приложения:

Вас заинтересует
2 года назад
7 лет назад
7 лет назад
10 лет назад
10 лет назад