Ответы
Ответ дал:
0
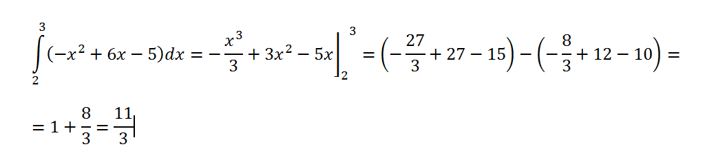
Решение внутри
--------------------------------
--------------------------------
Приложения:

Вас заинтересует
2 года назад
7 лет назад
10 лет назад
10 лет назад
10 лет назад