1.
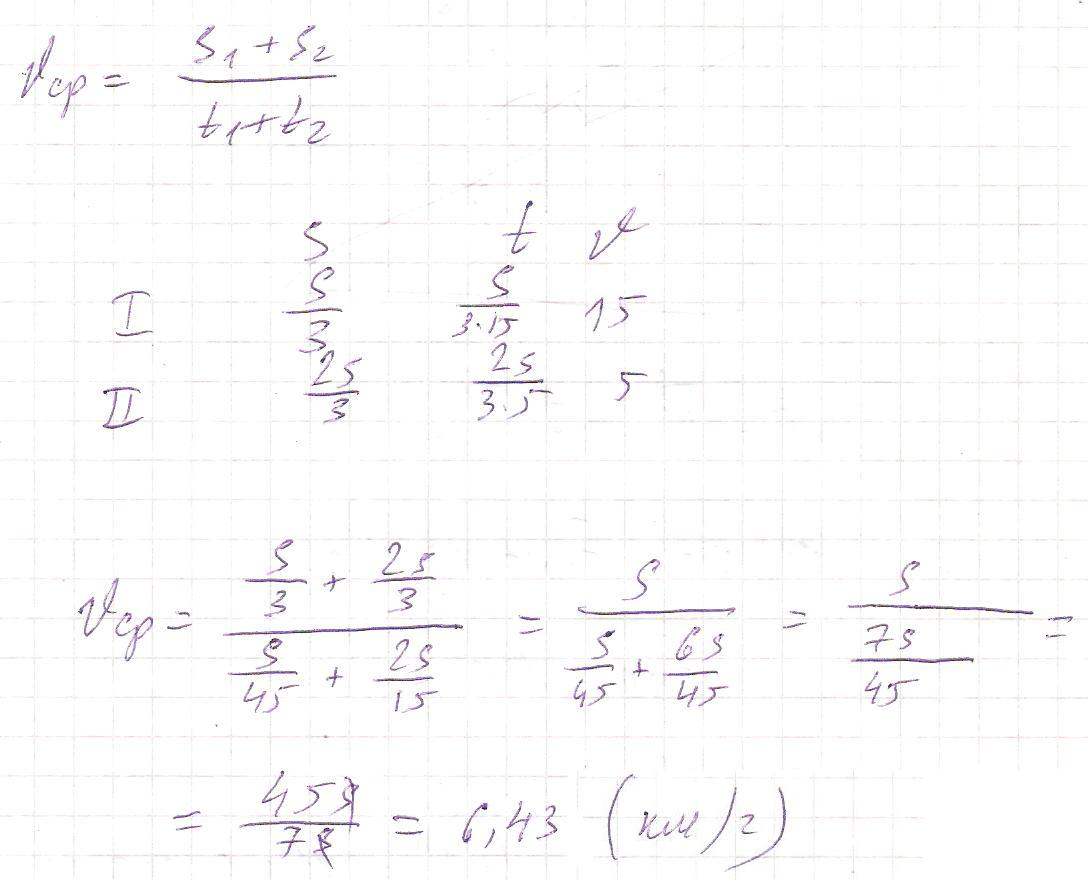
Треть пути человек ехал на велосипеде со скоростью 15 км/ч, а остаток пути шел со скоростью
5 км/ч. Какова его средняя скорость на всем пути?
Ответы
Ответ дал:
0
средняя скорость равна отношению пройденного пути ко всему затраченному времени (а не среднему арифметическому каких-то там скоростей!!!)
Приложения:

Вас заинтересует
2 года назад
8 лет назад
8 лет назад
10 лет назад
10 лет назад
10 лет назад
10 лет назад