Решить алгебраические уравнения на множестве комплексных чисел:

Найти x и y, считая их действительнымиными числами
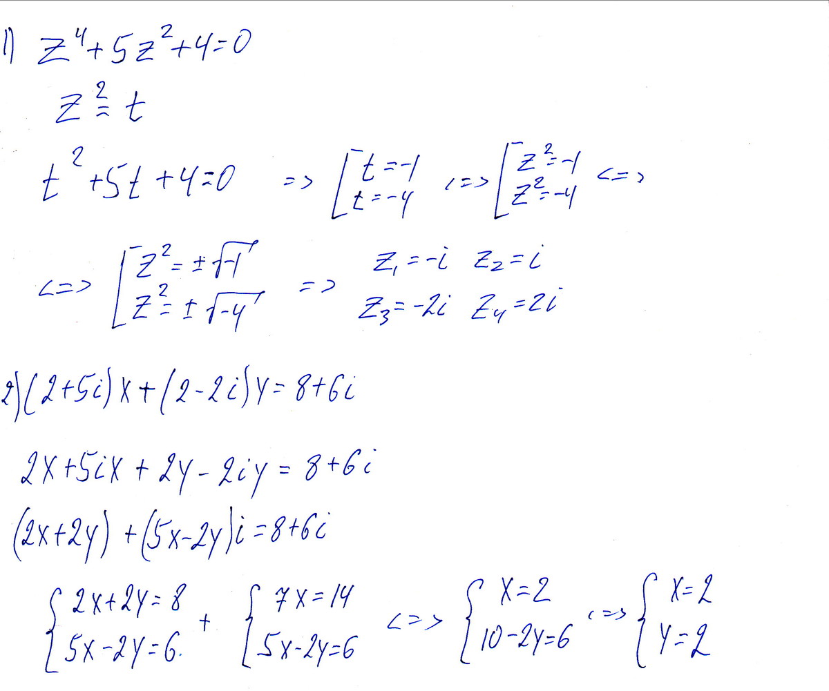
(2+5i)x+(2-2i)y=8+6i
Ответы
Ответ дал:
0
Квадратное уравнение решается сразу, в крайнем случае решите через дискриминант.
Приложения:

Ответ дал:
0
1)z^2=t
t^2+5t+4=0
t1=-4
t2=-1
z^2=-4
z=sqrt(-4)=2i
z^2=-1
z=i
2)2x+5ix+2x-2iy=8+6i
4x+i(5x-2y)=8+6i
x=2
10-2y=6
y=2
t^2+5t+4=0
t1=-4
t2=-1
z^2=-4
z=sqrt(-4)=2i
z^2=-1
z=i
2)2x+5ix+2x-2iy=8+6i
4x+i(5x-2y)=8+6i
x=2
10-2y=6
y=2
Приложения:

Вас заинтересует
2 года назад
2 года назад
10 лет назад
10 лет назад
10 лет назад